Suponer que las barras cortas están ancladas en una longitud AB, mientras que las barras largas están ancladas
en la longitud BC.
Diámetro nominal de una barra No. 8 = 1,00 in.
A. Longitud de anclaje de acuerdo con 12.2.2
Separación entre los centros de las barras ancladas = 8 in. = 8db
Recubrimiento libre = 0,75 in. = 0,75db
Como el recubrimiento libre es menor que db y la barra es mayor que una barra No. 7, debemos aplicar la
Ecuación D de la Tabla 4-1
α = 1,3 (barras superiores)
β = 1,5 (barras sin revestimiento epoxi)
λ = 1,3 (hormigón liviano)
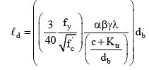
B. Longitud de anclaje de acuerdo con 12.2.3
α = 1,3 (barras superiores)
β = 1, 0 (barras sin revestimiento epoxi)
γ = 1, 0 (barras No. 7 y mayores)
λ = 1,3 (hormigón liviano)
Separación entre los centros de las barras ancladas = 8 in. = 8db
Separación libre entre las barras ancladas = 8 – 1 = 7 in. = 7db Recubrimiento libre = 0,75 in. = 0,75db
Distancia "c" entre el centro de la barra y la superficie de hormigón = 0,75 + 0,5 = 1,25 in. = 1, 25db (valor determinante)
= 8db / 2 = 4db (separación entre centros / 2)
c=1,25db (valor calculado anteriormente)
Ktr =0 (no hay armadura transversal)




No hay comentarios:
Publicar un comentario