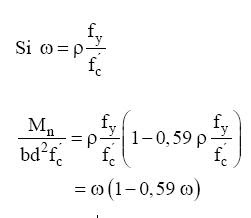
Observar que el valor 0,59 corresponde a k2/(k1k3) de la Ecuación (2). Reemplazando As = ρbd, la Ecuación (3) se puede escribir de la siguiente manera adimensional:
Como se ilustra en la Figura 6-11, la Ecuación (4) "concuerda sustancialmente con los resultados de ensayos exhaustivos." Sin embargo, se debe tener en cuenta que el bloque rectangular de tensiones no representa la distribución real de las tensiones en la zona de compresión en condiciones últimas, sino que permite obtener esencialmente los mismos resultados que los obtenidos en ensayos. En el Ejemplo 6.1 se ilustra el cálculo de la resistencia al momento usando la distribución rectangular de tensiones y la condición de equilibrio estático.


No hay comentarios:
Publicar un comentario